Agricultural productivity is inherently threatened by the persistent challenges of weed infestations, necessitating effective weed management strategies to safeguard crop yields. Echinochloa crus-galli (barnyard grass) and Monochoria vaginalis (common water hyacinth) are two weed species prevalent in Korean paddy fields that exert a notable impact on rice cultivation (Ha et al., 2014; Hwang et al., 2013; Lim et al., 2021). The efficient control of these weeds is crucial for sustaining agricultural output and ensuring food security. To address the burgeoning issue of weed interference, herbicides have become integral components of modern weed management practices. However, the repeated use of the same herbicide or herbicides that target a single area results in the selection of weed populations resistant to herbicides (Bo et al., 2017; Park et al., 2022). Acetyl CoA Carboxylase (ACCase) and Acetolactate Synthase (ALS) inhibitor resistant E. crus-galli (Lim et al., 2009) and ALS inhibitor-resistant M. vaginalis (Bo et al., 2017; Kwon et al., 2000) were first reported in Korea in the rice field.
Very-long-chain fatty acids inhibitor butachlor and biosynthesis of fatty acids inhibitor pretilachlor belonging to the chloroacetanilide herbicide class, have gained prominence due to their selective control mechanisms and efficacy against various weed species (Abigail et al., 2015; Casimero et al., 2022). However, the baseline sensitivity of E. crus-galli and M. vaginalis populations to these herbicides remains inadequately understood, particularly in the Korean agricultural context.
Baseline sensitivity is the starting point for determining the sensitivity of any weed to a specific chemical compound and can be used to establish herbicide resistance criteria for any herbicide (Espeby et al., 2011). In addition, understanding the baseline sensitivity of weed populations to herbicides is pivotal for devising targeted and sustainable weed management strategies (Park et al., 2022). This knowledge forms the foundation for optimizing herbicide applications, minimizing environmental impacts, and mitigating the development of herbicide resistance in weed populations. Therefore, this study aims to elucidate the baseline sensitivity of E. crusgalli and M. vaginalis populations to pretilachlor and butachlor herbicides in Korean paddy fields.
The weed species (E. crus-galli and M. vaginalis) were collected from paddy fields in October 2022. Seed collection was done at 70 sites for E. crus-galli and 52 sites for M. vaginalis, in the major rice-cultivating sites in Korea (Fig. 1). The whole plant doseresponse experiment was conducted at an experimental glasshouse of Chungnam National University. After testing the germination of each biotype, 3-5 seeds of each biotype were sown into a perforated 72-hole tray (60 cm x 40 cm x 15 cm) filled with paddy soil (Seoul Bio Co., Ltd. Chungcheongbuk-do, South Korea) and kept under flooded conditions (1-3 cm water depth) in a rectangular polystyrene pot (L: 56 cm, W: 35 cm, H: 15 cm). Three days after seeding, Pretilachlor (14% EC; DoumkkunTM, FarmHannong Co., Ltd. Seoul, South Korea) and butachlor (58.8% EC; MasetTM, FarmHannong Co., Ltd. Seoul, South Korea) were applied at the 9.37, 18.75, 37.5, 75, 150, 300, 600 (standard dosage) g a.i. ha-1 and 20.62, 41.25, 82.5, 165, 330, 660, 1,320 (standard dosage) g a.i. ha-1, respectively. The aboveground fresh weight of the treated weeds was measured 21 days after treatment (DAT).
Plant datasets obtained in dose-response studies were analyzed by fitting a log-logistic model to estimate treated weeds' GR50 (the dose requiring 50% fresh weight reduction) values. The data were expressed as the percentages of untreated control estimates. A nonlinear regression dose-response equation (Streibig, 1980) was used in the OriginPro 8.1 (OriginLab, 2021) program.
where y is fresh weight, x is the dose of herbicides, a is the minimum value, d is the maximum value, c is GR50, and b is proportional to the slopes around the dose of GR50. BSI was calculated by dividing the greatest GR50 value (GR50max) by the smallest GR50 value (GR50min).
One-way ANOVA statistical analysis was performed using OriginPro 8.1 (OriginLab, 2021).
Table 1
Baseline sensitivity indices of Echinochloa crus-galli and Monochoria vaginalis populations to butachlor and pretilachlor in Korea in 2022.
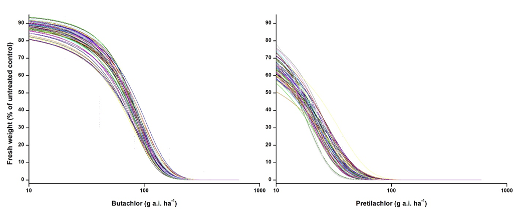
In the whole plant dose-response assay, 100% growth reduction of E. crus-galli was observed at the doses of 1,320 g a.i. ha-1, 660 g a.i. ha-1, 330 g a.i. ha-1 and 165 g a.i. ha-1 butachlor application and 600 g a.i. ha-1, 300 g a.i. ha-1, 150 g a.i. ha-1, 75 g a.i. ha-1, and 37.5 g a.i. ha-1 pretilachlor application (Fig. 2). The GR50 values of E. crus-galli ranged from 33.6 to 55.1 g a.i. ha-1 in butachlor and 10.5 to 22.2 g a.i. ha-1 in pretilachlor resulting the BSI of 1.64 for butachlor and 2.21 for pretilachlor (Fig. 3 and Table 1).
In the study on M. vaginalis, the resulting 80-100% growth reduction of seedlings from herbicide treatments was discovered at recommended doses of 1,320 g a.i. ha-1, 660 g a.i. ha-1, 330 g a.i. ha-1, and 165 g a.i. ha-1 butachlor application and 600 g a.i. ha-1, 300 g a.i. ha-1, 150 g a.i. ha-1, and 75 g a.i. ha-1 pretilachlor application (Fig. 4). The GR50 values of M. vaginalis ranged from 29.4 to 43.8 g a.i. ha-1 in butachlor and 14.9 to 20.1 g a.i. ha-1 in pretilachlor, resulting BSI of 1.49 for butachlor and 1.35 for pretilachlor (Fig. 5 and Table 1).
The GR50 values among biotypes of both weeds for both herbicides were not statistically different in one-way ANOVA Scheffe’ s test. This indicates no shift resistance in the E. crus-galli and M. vaginalis to the butachlor and pretilachlor in Korea. The BSI of E. crus-galli to pretilachlor was 2.12, the highest number of BSI tested in this study. Lim et al. (2021) observed a BSI of 2.61 for E. crus-galli to florpyrauxifen-benzyl (auxin herbicides) and suggested that low potential risk may emerge with this level of BSI. Recently, Park et al. (2022) found that M. vaginalis has a BSI of 1.48 and 1.78 for the HPPD-inhibiting herbicides mesotrione and benzobicyclon, respectively. In our study, all tested populations of both species were highly sensitive to butachlor and pretilachlor, with the highest level of growth inhibition typically achieved at 165 g a.i. ha-1 and 75 g a.i. ha-1, respectively. Based on these results, we could estimate that the potential risk of herbicide-resistant development in E. crus-galli and M. vaginalis populations to butachlor and pretilachlor herbicides is unlikely to occur in Korea in the short term. Though the number of populations we tested in this study was not enough to represent all the populations in Korea, we visited and collected weed seeds from the major rice cultivation areas in Korea. Therefore, the findings from this study would provide valuable data for developing sustainable strategies for rice cultivation with regard to herbicide use in Korea.


