Introduction
Pueraria montana var. lobata (kudzu) is an aggressive invasive vine that poses serious ecological and agricultural threats owing to its rapid growth and ability to overtop and smother native vegetation (Forseth and Innis, 2004). Conventional management strategies, including herbicide application and mechanical removal, are often costly, labor-intensive, and environmentally unsustainable (Kraehmer et al., 2014; Nath et al., 2024). Consequently, biological control using herbivorous insects that naturally feed on P. montana var. lobata foliage has been regarded as a promising and sustainable alternative.
A wide range of insect species are known to utilize P. montana var. lobata as a host plant, exhibiting diverse feeding habits that result in various types of damage. Megacopta cribraria (Hemiptera: Plataspididae) feeds by sucking sap from the leaves as reported from both Japan and the southeastern United States (Takasu and Hirose, 1986; Lahiri and Reisig, 2016), while Trachys auricollis (Coleoptera: Buprestidae) and L. (L.) diversipes (Coleoptera: Chrysomelidae) chew and consume leaf tissue (Imai et al., 2010; Kim et al., 2024). In contrast, Japanagromyza tristella (Diptera: Agromyzidae) and Leucoptera puerariella (Lepidoptera: Lyonetiidae) mine within the leaves, causing characteristic internal damage (Sasakawa, 1961; Kuroko, 1964). Among these species, T. auricollis, and L. (L.) diversipes have been documented in South Korea, whereas the majority of P. montana var. lobata-associated insect fauna remain unreported and are likely to be considerably more diverse. These insect–plant interactions may play a crucial role in regulating P. montana var. lobata populations within their native range. Understanding the diversity and feeding ecology of these herbivorous insects is therefore essential for elucidating the natural control mechanisms of P. montana var. lobata and for evaluating potential biological control agents against this invasive vine in regions where it has become problematic.
Among these insects, L. (L.) diversipes has been identified as a potential biological control candidate. This species was first detected in Korea in 2022 and formally documented in 2024 (Kim et al., 2024), and it is known to use P. montana var. lobata as its primary host plant (Lee and Matsumura, 2013). L. (L.) diversipes is widely distributed throughout East and Southeast Asia, including Japan, China, Taiwan, and Vietnam (Kimoto and Takizawa, 1994, Park and Lee, 2021). Its recent detection in Korea suggests a potential northward range expansion, possibly facilitated by the increasing distribution of P. montana var. lobata. Both larvae and adults live and feed gregariously on P. montana var. lobata leaves, indicating their potential as a biological control agent.
However, little is known about the feeding ecology of this species, particularly the quantitative feeding patterns of larvae across different instar stages. To address this knowledge gap, the present study quantified the daily leaf-area consumption of L. (L.) diversipes larvae at successive instar stages and compared feeding activity among groups of different larval densities. The objectives of this study were to determine the developmental stages responsible for the greatest foliar damage and to evaluate the potential of L. (L.) diversipes as a biological control agent for the management of P. montana var. lobata infestations.
Materials and Methods
Insect collection and rearing conditions
Eggs of L. (L.) diversipes were collected from P. montana var. lobata stands in Changwon, Republic of Korea, in June 2025. Larvae were reared under controlled laboratory conditions (27 ± 1°C, 60 ± 5% RH, and a photoperiod of 16L:8D). They were maintained individually in round polypropylene insect breeding dish (SPL, Cat No. 310122, diameter 120 mm, height 80 mm, mesh pore size 0.053 mm) and provided daily with fresh P. montana var. lobata leaves. Larval development was observed daily, and each developmental stage was recorded until pupation.
Feeding experiments
Feeding experiments were conducted from 16 to 22 June, with each experiment consisting of three replicates. Considering the gregarious behavior of L. (L.) diversipes, cohorts of six and seven larvae were reared per container, while single larvae were reared individually for comparison. All larvae were observed daily from hatching (first instar) to pupation, and their feeding activity was recorded for each developmental day (Fig. 1).
Leaf area measurement
Leaf area consumed by larvae was quantified using the smartphone application Easy Leaf Area (Easlon and Bloom, 2014). Leaves were photographed under standardized lighting conditions using a smartphone camera, with a 4 × 4 cm square reference marker placed in the same plane as the leaf. The application automatically distinguished green leaf tissue from the background and converted pixel counts into real units (cm²) based on the reference marker. The leaf area consumed was calculated as the difference between the initial and remaining leaf areas (Fig. 2).
Leaf area reduction (%) = ( A o−A t) / A o × 100 ( A o ; leaf area before feeding, At; leaf area after feeding)
Data analysis
All data were expressed as the mean ± standard deviation (SD). Daily and total leaf area consumption among larval groups (N = 1, 6, and 7) were analyzed using one-way analysis of variance (ANOVA). When significant differences were detected, means were compared using Duncan’s multiple range test (DMRT) at a significance level of P ≤ 0.05. The coefficient of variation (CV) was calculated to assess individual variation in feeding activity within each treatment. All statistical analyses were conducted in R (version 4.4.2, R Core Team, 2024), and figures were prepared using SigmaPlot (version 12.5; SYSTAT Software Inc., San Jose, CA, USA).
Results and Discussion
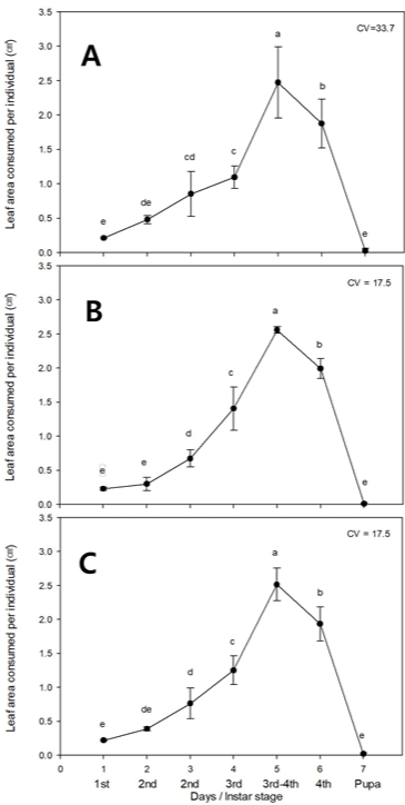
Daily leaf consumption by L. (L.) diversipes larvae increased steadily during early development, reaching a pronounced peak at the transition between the late third and fourth instars (day 5), after which feeding activity declined rapidly (Table 1, Fig. 3). On day 5, the mean leaf area consumed per individual was 2.47 ± 0.52, 2.56 ± 0.05, and 2.51 ± 0.24 cm² for groups of one, six, and seven larvae, respectively, representing the highest feeding intensity recorded during the experiment (P ≤ 0.05, DMRT).
Table 1
Daily leaf area consumed by L. (L.) diversipes larvae at different group sizes (N = 1, 6, and 7) under laboratory conditions.
Feeding activity was minimal during the 1st and 2nd instars (≤ 0.5 cm² per individual) and almost ceased by the pre-pupal stage (day 7). The overall feeding pattern showed a unimodal curve, indicating that the major foliar damage was concentrated during the midto-late larval period.
Despite small differences in total leaf consumption among treatments (7.02–7.17 cm² per group), per-capita consumption remained relatively constant, suggesting that larval density had little influence on feeding rate. However, the coefficient of variation was markedly higher in single-larva groups (CV = 33.7) than in multi-larva groups (CV = 17.5), implying that gregarious feeding reduces individual variation in consumption.
Total leaf area consumed per individual throughout the larval period did not differ significantly among groups of different densities (Fig. 4). The mean total consumption was 7.02 ± 0.36 cm², 7.17 ± 0.29 cm², and 7.08 ± 0.31 cm² for groups of one, six, and seven larvae, respectively (P > 0.05, DMRT). The low coefficient of variation (CV = 4.39) indicates a consistent feeding rate regardless of group size. These results suggest that larval density had little effect on the overall amount of foliage consumed per individual, and that feeding activity of L. (L.) diversipes larvae is relatively stable under both solitary and gregarious conditions.
The feeding patterns of L. (L.) diversipes larvae on P. montana var. lobata revealed a distinct temporal concentration of leaf consumption, with the highest activity occurring at the 3rd–4th instar stage. This pattern is typical of many leaf-feeding Chrysomelidae species, in which the majority of foliar damage is caused by middle- to late-instar larvae (Tayutivutikul and Kusigemati, 1992; Jolivet and Hawkeswood, 1995). The sharp increase in consumption during these stages likely reflects rapid body growth and elevated metabolic demand associated with pre-pupal development.
Interestingly, the total leaf area consumed per individual did not differ significantly among larval density treatments, indicating that feeding rate was largely independent of group size under laboratory conditions. The low coefficient of variation (CV = 4.39) also suggests that feeding efficiency remained consistent under both solitary and gregarious conditions. This density-independent feeding pattern implies that intraspecific competition for food resources is minimal when leaves are sufficiently available. Similar results have been reported in other gregarious leaf beetles, in which cooperative feeding behavior softens leaf tissues, thereby enhancing feeding efficiency without reducing individual intake (Santiago-Blay and Jolivet, 2003). However, when more than ten larvae were reared together under laboratory conditions, some individuals died naturally, suggesting that different outcomes may occur under field conditions where environmental factors are more variable.
Conclusion
This study quantitatively characterized the feeding ecology of L. (L.) diversipes larvae on P. montana var. lobata under laboratory conditions. Larval feeding activity exhibited a distinct unimodal pattern, with the greatest leaf consumption occurring at the 3rd–4th instar stage. Total leaf area consumed per individual was consistent across different larval densities, indicating that feeding rate was largely unaffected by group size.
These findings suggest that L. (L.) diversipes larvae are efficient and stable leaf consumers regardless of density, with feeding concentrated during a brief developmental window. Such synchronized and intensive feeding behavior may contribute substantially to foliar damage on P. montana var. lobata in the field. Considering its host specificity and gregarious feeding habit, L. (L.) diversipes represents a promising candidate for the biological control of P. montana var. lobata. Further studies should examine its field performance, host range, and interaction with native herbivores to evaluate its long-term potential as a sustainable control agent.
Acknowledgements
This work was supported by Gyeongsang National University Grant in 2025 Sung Hwan Choi. This research was supported by Korea Basic Science Institute (National Research Facilities and Equipment Center) grant funded by Ministry of Education (Grant No. 2022R1A6C101B724). We thank Hyelim Choi (K-Eco Research Institute) for her assistance with the ecological survey of Lema (Lema) diversipes (Coleoptera: Chrysomelidae).
Authors Information
Soo Jeong Ahn, Agricultural Corporation ERANG Co., Ltd., CEO
Jung Beom Yoon, Horticultural and Herbal Crop Environment Division, National Institute of Horticultural and Herbal Science, Researcher
Sung Hwan Choi, Division of Horticultural Science, Gyeongsang National University, Professor


